Beritaenam.com – Namanya mungkin terdengar asing di telinga kebanyakan orang. Tapi di dunia farmasi, nutraceutical, dan riset kesehatan, chitosan sudah lama dikenal sebagai salah satu bahan alami dengan potensi luar biasa. Apa itu chitosan? Berasal dari chitin, serat yang ditemukan di cangkang hewan laut seperti udang, kepiting, dan lobster, chitosan adalah polimer alami yang kini mulai mendapat perhatian besar dari komunitas kesehatan global.
Apa Itu Chitosan?
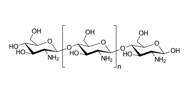
Chitosan adalah polisakarida yang diperoleh melalui proses deasetilasi chitin. Secara kimia, ia adalah serat tidak larut air yang bermuatan positif, sifat inilah yang membuatnya istimewa dan berbeda dari serat nabati biasa.
Dalam dunia medis dan industri, chitosan sudah digunakan dalam berbagai aplikasi: dari wound dressing (pembalut luka) yang membantu pembekuan darah, hingga suplemen kesehatan untuk manajemen berat badan dan kolesterol.
Bagaimana Cara Kerja Chitosan dalam Tubuh?
Saat dikonsumsi, chitosan bermuatan positif akan berikatan dengan molekul lemak dan kolesterol bermuatan negatif di saluran pencernaan, sebelum lemak tersebut sempat diserap tubuh. Ikatan ini kemudian dikeluarkan bersama feses.
Mekanisme ini yang membuat chitosan mendapat julukan “fat blocker alami” dan menjadikannya bahan aktif dalam berbagai suplemen manajemen berat badan dan kesehatan kardiovaskular.
7 Manfaat Chitosan untuk Kesehatan yang Terbukti
1. Menurunkan Kolesterol Jahat (LDL)
Beberapa studi klinis menunjukkan chitosan dapat membantu menurunkan kadar LDL (kolesterol jahat) secara signifikan dengan mekanisme pengikat lemak di usus sebelum diserap.
2. Mendukung Manajemen Berat Badan
Dengan mengikat sebagian lemak dari makanan, chitosan membantu mengurangi kalori yang diserap tubuh. Ini menjadikannya pendamping alami program diet yang sehat.
3. Menjaga Kesehatan Pencernaan
Sebagai serat, chitosan mendukung pergerakan usus yang sehat, mencegah sembelit, dan membantu menciptakan lingkungan usus yang baik bagi bakteri probiotik.
4. Membantu Kontrol Gula Darah
Penelitian menunjukkan chitosan dapat memperlambat penyerapan glukosa di usus halus, membantu menjaga kestabilan gula darah setelah makan, manfaat penting bagi penderita diabetes tipe 2.
5. Efek Anti-Inflamasi
Chitosan memiliki sifat anti-inflamasi yang membantu mengurangi peradangan sistemik dalam tubuh, faktor kunci dalam pencegahan penyakit kronis seperti jantung, diabetes, dan kanker.
6. Mendukung Penyembuhan Luka
Chitosan memiliki sifat hemostatik (membantu pembekuan darah) dan antimikroba, yang membuatnya digunakan dalam produk wound care medis kelas atas.
7. Mendukung Kesehatan Tulang
Beberapa penelitian menunjukkan chitosan dapat mendukung kepadatan tulang dan memiliki potensi dalam penanganan osteoporosis, meskipun penelitian lebih lanjut masih terus berlangsung.
Siapa yang Sebaiknya Mengonsumsi Chitosan?
- Orang dengan kadar kolesterol tinggi yang ingin pendamping alami
- Penderita diabetes atau pra-diabetes yang ingin membantu kontrol gula darah
- Mereka yang ingin mendukung program penurunan berat badan secara sehat
- Siapa saja yang ingin menjaga kesehatan pencernaan dan jantung jangka panjang
Catatan penting: Chitosan tidak disarankan untuk orang dengan alergi seafood/shellfish. Selalu konsultasikan dengan dokter sebelum memulai suplemen baru.
Baca juga: Regenerasi Sel: Rahasia Tubuh Awet Muda yang Jarang Dibahas








